Tìm kiếm gần đây
Từ khóa phổ biến
Đồ điện tử
Xe cộ
Bất động sản
Ship
Máy tính để bàn
Máy ảnh, Máy quay
Điện thoại di động
Xe đạp
Xe máy
Ô tô
Mua bán nhà đất
Đất
Dịch vụ - Giải trí
Thực phẩm, đồ uống
Thời trang
Mẹ và Bé
Đồ gia dụng
Sức khỏe - Sắc đẹp
Nội thất - Ngoại thất
Khuyến mại - Giảm giá
Thủ công - Mỹ nghệ - Quà tặng
Nhà trong ngõ
Căn hộ chung cư
Nhà riêng, nguyên căn
Nhạc cụ
Sách
Cửa hàng
Văn phòng
Máy tính bảng
Tivi, Loa, Amply, Máy nghe nhạc
Phụ kiện
Xe tải, xe khác
Phụ tùng xe
Xe đạp điện
Xe máy điện
Nội thất ô tô
Thời trang nam
Thời trang nữ
Đồ đôi, đồng phục
Thời trang bé
Giày dép
Thú cưng
Tìm việc làm
Đồ cho mẹ và bé
Thiết bị điện lạnh
Thiết bị nhà bếp
Thiết bị theo mùa
Thiết bị sức khỏe
Đồ gia dụng khác
Mỹ phẩm
Spa
Vật tư - y tế
Thể thao
Dịch vụ
Sở thích khác
Dụng cụ thể thao
Du lịch
Đồ dùng văn phòng, công nông nghiệp
Nội thất phòng khách
Nội thất phòng ngủ
Nội thất phòng bếp
Nội thất phòng tắm
Nội thất văn phòng
Vườn
Thiết kế, phong thủy
Nội thất khác
Hoa, quà tặng, handmade
Nghệ thuật, thủ công
Thực phẩm, Đồ uống
Thực phẩm
Đồ uống
Laptop
Thiết bị đeo thông minh
Sưu tầm đồ cổ
Thiết bị chơi game
Thời trang thể thao
Phụ kiện thể thao
Dụng cụ làm đẹp
Thực phẩm chức năng
Gà
Chó
Mèo
Chim
Đồ ăn, phụ kiện, dịch vụ
Thú cưng khác
Đồ dùng văn phòng
Công nông nghiệp
Ngoại thất
Linh kiện
Cường độ đất nền là một trong những yếu tố cốt lõi và được quan tâm hàng đầu khi lập kế hoạch thi công công trình xây dựng. Cường độ đất nền liên quan đến giới hạn về độ cao và trọng lượng của công trình xây dựng trên đất đó. Vậy cường độ đất nền là gì? Cường độ đất nền được tính như thế nào? Khả năng chịu tải của đất nền chịu ảnh hưởng bởi những yếu tố nào? Cùng tìm hiểu qua bài viết sau đây nhé!
Cường độ đất nền biểu thị giới hạn trọng tải của công trình xây dựng trên đất mà đất đó có thể chịu được. Cường độ đất nền còn được gọi là khả năng chịu tải của đất nền. Trong xây dựng, có một lý thuyết về sự cân bằng giới hạn điểm của môi trường đất.
Trong đó, khi cán cân cân bằng về mức âm thì đất nền sẽ bị sụt lún, làm ảnh hưởng trực tiếp đến công trình xây dựng được xây trên nền đất đó. Chính vì vậy mà trước khi xây dựng người ta sẽ khảo sát cường độ đất nền để làm tiền đề cho phương án thiết kế thi công công trình.
Xem thêm: Thế nào là nền đất yếu và giải pháp thi công tốt nhất hiện nay
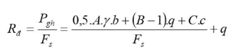
Thông thường, khi thiết kế bản vẽ thi công, người kỹ sư sẽ tiến hành đo đạc cường độ đất nền chính xác trong thực tế bằng máy móc và thiết bị. Trước đó, cường độ đất nền giả định có thể được tính toán bằng công thức raonhanh365 giới thiệu sau đây
Giải thích các yếu tố xuất hiện trong công thức:
- Rđ: Cường độ đất nền trong thực tế.
- Pgh: Giới hạn sức chịu tải của đất nền (có nghĩa là tại mức giá trị Pgh thì nền đất sẽ bị phá hoại bởi tải trọng của công trình xây dựng).
- Fs: Hệ số an toàn. Trong xây dựng có hai giá trị Fs phổ biến tương ứng với đất sét và đất cát pha. Fs của đất sét là 2, trong khi đó Fs của đất cát pha có hệ số là 3.
- b: Độ rộng của móng. Nếu móng bằng thì việc đo độ rộng rất đơn giản. Nếu móng bè hoặc móng đơn thì giá trị của B sẽ bằng độ rộng của móng có kích thước bé nhất. Trong trường hợp móng tròn thì giá trị của B được tính bằng đường kính của móng.
- ɣ: Trọng lượng riêng của lớp đất nền.
- c: Lực dính của lớp đất nền.
- q: Ứng suất bản thân của đáy móng.
Các hệ số A, B, C trong công thức trên được xác định như sau:
A = Nɣ.nɣ.mɣ.i
B = Nq.nq.mq.iq
C = Nc.nc.mc.ic
Trong đó nɣ, nq và nc có giá trị khác nhau giữa móng băng và móng đơn hoặc móng bè. Giá trị của nɣ, nq và nc được quy định và có cách tích như trong hình ảnh trên.
Giải thích công thức tính hệ số A, B, C:
- Nɣ, Nc và Nq: Hệ số chịu tải của đất nền (đất nền có góc ma sát khác nhau thì sở hữu hệ số chịu tải khác nhau).
- nɣ, nc và nq: Hệ số hiệu chỉnh hình dạng móng (vì không phải móng công trình nào cũng cóp hình dạng hình học chuẩn).
- mɣ, mc và mq: Hệ số điều chỉnh độ dốc.
- iɣ, ic và iq: Hệ số hiệu chỉnh độ lệch/ độ võng của tải trọng.
Có thể thấy là công thức tính toán khả năng chịu tải của đất nền rất phức tạp. Tuy nhiên, việc tính toán chính xác khả năng chịu tải của đất nền sẽ giúp cho việc thiết kế thi công công trình an toàn và chính xác hơn, đảm bảo công trình có thể đứng vững trên nền đất. Điều này cũng giúp đảm bảo an toàn cho người sử dụng công trình, cũng như người dân và các công trình xung quanh.
Mỗi loại đất có cường độ – khả năng chịu tải – khác nhau. Trong quá trình lập bản vẽ thi công và thi công công trình xây dựng, cường độ đất nền cần được kiểm tra thường xuyên bởi các kỹ sư xây dựng. Điều này giúp hạn chế mọi rủi ro liên quan đến đất nền xây dựng. Đồng thời, người kỹ sư xây dựng cũng cần xác định chính xác loại đất nền để tính toán chính xác khả năng chịu tải.
Sau đây là khả năng chịu tải của một số loại đất nền xét theo đơn vị kg/m2:
- Đất đen: 15.000 kg/m2.
- Cát mịn, khô, lỏng: 10.000 kg/m2.
- Cát vừa, khô, nhỏ: 25.000 kg/m2.
- Cát dạng nhỏ: 45.000 kg/m2.
- Đất bùn hoặc đất sét dạng mềm, ướt: 5.000 kg/m2.
- Đất sét dạng mềm dẻo: 10.000 kg/m2.
- Đất sét ẩm có trộn thêm cát: 15.000 kg/m2.
- Đất sét dạng nhỏ: 25.000 kg/m2.
- Sỏi lỏng: 25.000 kg/m2.
- Sỏi nhỏ: 45.000 kg/m2.
- Đá loại mềm: 45.000 kg/ m2.
- Đá cứng (đá granite, đá diorit…): 330.000 kg/m2.
- Đá có nhiều đá cát, đá vôi: 165.000 kg/ m2.
Xem thêm: Mách bạn cách thực hiện kiểm tra pháp lý dự án đất nền hiệu quả
Nói về những yếu tố ảnh hưởng đến cường độ – khả năng chịu tải – của đất nền, thì mực nước ngầm là yếu tố có tác động lớn nhất.
Nước ngầm xuất hiện ở bất kỳ khu vực nào, vì vậy mà khi tính toán phạm vi móng và thiết kế công trình, người kỹ sư xây dựng cần điều tra về mực nước ngầm để đảm bảo công trình xây dựng không chịu ảnh hưởng bởi nước ngầm.
Trường hợp lý tưởng nhất là lớp đất nền không chịu ảnh hưởng từ nước ngầm., Khi đó khả năng chịu tải của đất phụ thuộc vào đặc tính của đất và việc thiết kế, thi công công trình xây dựng sẽ dễ dàng hơn rất nhiều.
Trong trường hợp không khả quan, khi mực nước ngầm chạm mức đáy móng hoặc cao hơn đáy móng thì thay vì trọng lượng riêng của đất nền, chúng ta cần quan tâm đến trọng lượng đẩy nổi.
Trong trường hợp mức nước ngầm nằm ở bên dưới lớp đất nền thì người ta không tính toán mật độ của đất nền. Thay vào đó, trọng lượng nổi mới là yếu tố cần được xem xét đến.
Ngoài ra, nước ngầm cũng chịu ảnh hưởng của khí hậu, mùa vụ và thủy triều nếu ở gần biển. Người kỹ sư xây dựng cần phân tích tác động của những yếu tố trên để hiểu rõ đặc tính của nước ngầm.
Mặt khác, kết cấu của hệ thống móng và bề mặt công trình xây dựng cũng có những ảnh hưởng nhất định đến cường độ đất nền. Về phương diện đặc tính của đất, sức chống cắt và độ biến dạng của đất nền cũng có ảnh hưởng trực tiếp đến cường độ đất nền.
Nhìn chung, để yên tâm khi làm móng cho công trình, chủ đầu tư nên khảo sát địa chất, xác định loại đất nền và mức nước ngầm để có giải pháp xử lý và phương án thiết kế, thi công hợp lý nhất. Trong một số trường hợp, người ta còn sử dụng cả cọc đúc ly tâm để cải thiện khả năng chịu tải của đất nền công trình.
Trên đây bài viết đã giới thiệu đến bạn đọc công thức tính cường độ đất nền giả định. Khả năng chịu tải của mỗi loại đất nền có sự khác nhau tùy thuộc vào loại đất và các thành phần có trong đất nền. Trước khi thiết kế và thi công dự án xây dựng công trình, chủ đầu tư nên tiến hành khảo sát địa chất để xác định được cường độ đất nền, từ đó đảm bảo cho việc thi công móng và công trình xây dựng sau khi hoàn thành sẽ không gặp phải hiện tượng sụt lún.
Làm gì khi nhận nhà chung cư?
Có không ít người khi nhận bàn giao nhà chung cư thì tỏ ra lúng túng vì không biết nên kiểm tra các hạng mục theo thứ tự cụ thể nào. Tham khảo ngay bài viết sau đây để viết phải làm gì khi nhận nhà chung cư nhé!
Đất trồng rừng có lên thổ cư được không? Đó là thắc mắc của số lượng không nhỏ người dân hiện nay. Cùng tìm hiểu những đáp án của vấn đề này nhé
Bạn đang muốn tìm hiểu về kịch bản sale phone đất nền thu hút? Tham khảo ngay bai viết sau đây để có thêm cho mình những bí quyết chốt đơn hiệu quả.
Bạn đang thắc mắc đất thương mại dịch vụ có được xây nhà không? Để tìm lời giải đáp cùng raonhanh365.vn tham khảo trong bài viết mới mẻ và thú vị sau.
custom protocol